The dataset taken had 66 files and with total number of words being 97099. We know this dataset is small, given the topic is so important, but with our resources and web crawling of important websites, this much was collected. This can be taken as a nice sample over the big data available on web. And same analysis can be performed with a huge data set and better processors.
The aim of this article is initial analysis and understanding data.
The WordCloud for words in this dataset is as follows:

The top 10 keywords are
{‘climate’: 1032, ‘change’: 471, ‘emissions’: 450, ‘zero’: 446, ‘net’: 434, ‘energy’: 295, ‘action’: 288, ‘global’: 287, ‘carbon’: 237, ‘transition’: 217}

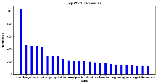
Top 20 words in order of importance are:
The top N value pairs are [‘climate’, ‘change’, ‘emissions’, ‘zero’, ‘net’, ‘energy’, ‘action’, ‘global’, ‘carbon’, ‘transition’, ‘countries’, ‘people’, ‘world’, ‘need’, ‘smes’, ‘also’, ‘banks’, ‘warming’, ‘support’, ‘company’]
And with frequencies these
{‘climate’: 1032, ‘change’: 471, ‘emissions’: 450, ‘zero’: 446, ‘net’: 434, ‘energy’: 295, ‘action’: 288, ‘global’: 287, ‘carbon’: 237, ‘transition’: 217, ‘countries’: 215, ‘people’: 213, ‘world’: 206, ‘need’: 202, ‘smes’: 187, ‘also’: 181, ‘banks’: 176, ‘warming’: 166, ‘support’: 153, ‘company’: 149}
The top 25 words in order of importance are:
The top 25 value pairs are [‘climate’, ‘change’, ‘emissions’, ‘zero’, ‘net’, ‘energy’, ‘action’, ‘global’, ‘carbon’, ‘transition’, ‘countries’, ‘people’, ‘world’, ‘need’, ‘smes’, ‘also’, ‘banks’, ‘warming’, ‘support’, ‘company’, ‘group’, ‘business’, ‘targets’, ‘greenhouse’, ‘businesses’]
And with frequencies these are:
{‘climate’: 1032, ‘change’: 471, ‘emissions’: 450, ‘zero’: 446, ‘net’: 434, ‘energy’: 295, ‘action’: 288, ‘global’: 287, ‘carbon’: 237, ‘transition’: 217, ‘countries’: 215, ‘people’: 213, ‘world’: 206, ‘need’: 202, ‘smes’: 187, ‘also’: 181, ‘banks’: 176, ‘warming’: 166, ‘support’: 153, ‘company’: 149, ‘group’: 144, ‘business’: 143, ‘targets’: 138, ‘greenhouse’: 137, ‘businesses’: 134}
Here is the frequency distribution

The top 100 words in order of importance with frequencies these are:
{‘climate’: 1032, ‘change’: 471, ‘emissions’: 450, ‘zero’: 446, ‘net’: 434, ‘energy’: 295, ‘action’: 288, ‘global’: 287, ‘carbon’: 237, ‘transition’: 217, ‘countries’: 215, ‘people’: 213, ‘world’: 206, ‘need’: 202, ‘smes’: 187, ‘also’: 181, ‘banks’: 176, ‘warming’: 166, ‘support’: 153, ‘company’: 149, ‘group’: 144, ‘business’: 143, ‘targets’: 138, ‘greenhouse’: 137, ‘businesses’: 134, ‘sme’: 133, ‘gas’: 130, ‘buyers’: 125, ‘new’: 120, ‘solutions’: 119, ‘companies’: 119, ‘developing’: 118, ‘financial’: 115, ‘innovation’: 109, ‘must’: 108, ‘impacts’: 104, ‘development’: 104, ‘data’: 103, ‘many’: 102, ‘loss’: 101, ‘make’: 100, ‘finance’: 100, ‘including’: 100, ‘one’: 100, ‘future’: 97, ‘nature’: 96, ‘co2’: 96, ‘like’: 96, ‘earth’: 91, ‘actors’: 91, ‘us’: 89, ‘years’: 89, ‘reduce’: 88, ‘commitments’: 88, ‘role’: 87, ‘plans’: 87, ‘use’: 86, ‘changes’: 85, ‘temperature’: 85, ‘governments’: 85, ‘across’: 83, ‘sustainable’: 81, ‘resources’: 81, ‘would’: 81, ‘2030’: 80, ‘adaptation’: 80, ‘could’: 79, ‘report’: 79, ‘land’: 78, ‘help’: 78, ‘year’: 78, ‘2’: 76, ‘water’: 75, ‘progress’: 74, ‘heat’: 74, ‘increase’: 74, ‘time’: 73, ‘human’: 71, ‘see’: 71, ‘market’: 71, ‘un’: 70, ‘around’: 70, ‘renewable’: 70, ‘power’: 69, ‘work’: 68, ‘ocean’: 67, ‘efforts’: 67, ‘communities’: 67, ‘regions’: 66, ‘agreement’: 66, ‘set’: 66, ‘services’: 66, ‘value’: 66, ‘take’: 65, ‘international’: 65, ‘corporate’: 65, ‘small’: 65, ‘1’: 65, ‘part’: 64, ‘rise’: 63}
The frequency distribution of the above top 100 words is

The top 15 words are
{‘climate’: 1032, ‘change’: 471, ‘emissions’: 450, ‘zero’: 446, ‘net’: 434, ‘energy’: 295, ‘action’: 288, ‘global’: 287, ‘carbon’: 237, ‘transition’: 217, ‘countries’: 215, ‘people’: 213, ‘world’: 206, ‘need’: 202, ‘smes’: 187}
Its frequency graph is:

Noun Phrase Analysis
Here only noun phrases in the complete text is considered
Top 25 Noun Phrases in these texts along with the frequencies are as follows:
{‘net_zero’: 123, ‘climate_action’: 103, , ‘climate_crisis’: 47, ‘paris_agreement’: 43, ‘non-state_actors’: 41, ‘renewable_energy’: 41, ‘greenhouse_gas_emissions’: 35, ‘young_people’: 31, ‘greenhouse_gases’: 30, ‘sme_net_zero_transition’: 30, ‘corporate_minds’: 26, ‘non-state_entities’: 25, ‘high-level_expert_group’: 24, ‘financial_institutions’: 24, ‘carbon_credits’: 22, ‘net_zero_emissions_commitments’: 21, ‘voluntary_carbon_market’: 20, ‘innovation_sprints’: 20, ‘clean_energy’: 19, ‘world’_s’: 18, ‘global_emissions’: 18, ‘business_coalition’: 17, ‘small_island’: 17, ‘value_chain’: 16, ‘total_number’: 16}
The frequency distribution is as follows

The top 100 phrases with frequencies are as follows:
{‘net_zero’: 123, ‘climate_action’: 103, , ‘climate_crisis’: 47, ‘paris_agreement’: 43, ‘non-state_actors’: 41, ‘renewable_energy’: 41, ‘greenhouse_gas_emissions’: 35, ‘young_people’: 31, ‘greenhouse_gases’: 30, ‘sme_net_zero_transition’: 30, ‘corporate_minds’: 26, ‘non-state_entities’: 25, ‘high-level_expert_group’: 24, ‘financial_institutions’: 24, ‘carbon_credits’: 22, ‘net_zero_emissions_commitments’: 21, ‘voluntary_carbon_market’: 20, ‘innovation_sprints’: 20, ‘clean_energy’: 19, ‘world_’_s’: 18, ‘global_emissions’: 18, ‘business_coalition’: 17, ‘small_island’: 17, ‘value_chain’: 16, ‘total_number’: 16, ‘net_zero_pledges’: 15, ‘human_activities’: 14, ‘climate_impacts’: 14, ‘private_sector’: 14, ‘don_’_t’: 14, ‘’_ve’: 14, ‘sme_climate_hub’: 14, ‘”_“‘: 13, ‘carbon_dioxide’: 13, ‘business_leaders’: 13, ‘•_non-state_actors’: 13, ‘intergovernmental_panel’: 12, ‘quote_card’: 12, ‘indigenous_peoples’: 12, ‘transition_plans’: 12, ‘expert_group’: 12, ‘global_temperature_rise’: 11, “earth_’s_climate”: 11, ‘negative_impacts’: 11, ‘emission_reductions’: 11, ‘net_zero_targets’: 11, ‘net_zero_commitments’: 11, ‘water_vapour’: 11, ‘sustainable_development’: 10, ‘food_security’: 10, ‘indigenous_communities’: 10, ‘adelle_thomas’: 10, ‘co2_emissions’: 10, ‘net_zero_transition’: 10, ‘new_types’: 10, ‘buyers_innovation_sprints’: 10, ‘net-zero_commitments’: 9, ‘targets_initiative’: 9, ‘sustainable_development_goals’: 9, ‘local_communities’: 9, ‘’_re’: 9, ‘carbon_emissions’: 9, ‘greenhouse_effect’: 8, ‘international_community’: 8, ‘vulnerable_countries’: 8, ‘ocean_acidification’: 8, ‘address_loss’: 8, ‘small_islands’: 8, ‘sea_level_rise’: 8, ‘energy_transition’: 8, ‘energy_efficiency’: 8, ‘green_hydrogen’: 8, ‘small_businesses’: 8, ‘greenhouse_gas’: 8, ‘net_zero_co2_emissions’: 8, ‘non‑state_actors’: 8, ‘climate_system’: 8, ‘net-zero_emissions_commitments’: 7, ‘sharm_el-sheikh’: 7, ‘wide_range’: 7, ‘net-zero_emissions’: 7, ‘un_secretary-general’: 7, ‘human_rights’: 7, ‘sustainable_agriculture’: 7, ‘collective_action’: 7, ‘adaptation_options’: 7, ‘coral_reefs’: 7, ‘multilateral_development_banks’: 7, ‘energy_poverty’: 7, ‘ice_sheets’: 7, ‘climate_goals’: 7, ‘extreme_weather_events’: 7, ‘air_pollution’: 7, ‘various_posts’: 7, ‘climate_targets’: 7, ‘interim_targets’: 7, ‘financial_incentives’: 7}
The graph can be seen as follows, of phrases versus frequencies:

The WordCloud here is as follows:
